鲁鹏在Antiquity发表黄土高原史前水利工程:双槐树遗址古代环壕系统研究成果
河南巩义双槐树遗址位于黄土高原东缘,地貌复杂多样,主要沉积为第四纪黄土,遗址出现了内、中、外三重大型环壕系统,此类环壕的功能长期存在争议,但其在水资源管理方面的潜在作用一直被推测,却缺乏坚实的科学证据。这三重环壕是先后使用还是同时并存?它们的主要功能是什么?先民是如何通过这一系统来适应和改造自然环境的?
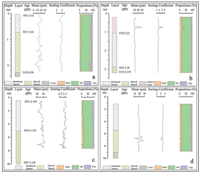
本研究采用了多学科交叉的科技考古手段,构建了完整的证据链:通过高精度年代学框架构建、粒度分析和土壤微形态分析,厘清三条环壕的开挖、使用、废弃和最终淤平时间关系,反演环壕过去的水文活动历史,更精细地揭示环境演变过程。
双槐树遗址史前环壕系统的生命周期可以分为几个阶段。约5300 BP前后,先后修建了内、中、外壕,大约5100 BP时,三重环壕系统完成并运行,然后,在公元前5000-4900年左右,这三条环壕开始被废弃,在4800- 4700 BP时,内壕被淤平,在3000-2000 BP时,中壕和外壕也被淤平。
环壕系统的核心功能体现为一套主动的水资源管理系统。沉积学分析为此提供了关键证据:粒度与土壤微形态特征显示,环壕内沉积物记录了从静水环境到高能水流环境的多类水文过程,表明其曾长期处于动态水环境之中。在工程设计上,环壕整体呈现“西北高、东南低”的布局,巧妙借助自然地形实现降水的高效汇集与定向输送。此外,内壕沉积序列中识别出多次人工清淤的痕迹。在全新世温暖湿润但季节降水不均的背景下,双槐树的环壕体系于雨季能迅速排走聚落内的积水,防洪防涝;于旱季则可蓄水备用,缓解水源压力。
研究发现,大约5300-5000 BP时,双槐树遗址先民建造了规模宏大的三重环壕系统,尽管各环壕的始建时间可能略有差异,但内、中、外三重环壕在特定时期内曾共同使用。这一史前环壕系统可能具备多重功能,但水资源管理是其核心功能之一。通过有组织地收集、输送和储存自然降水,该环壕系统有效实现了对塬顶水资源的调控。这一水利工程支撑了先民的长期定居生活,缓解了全新世时期降水季节性丰枯变化带来的压力。双槐树及黄土高原其他遗址的环壕系统,正是远古先民运用智慧应对复杂自然环境的关键体现,成为史前文明适应与改造自然的卓越范例。
该研究成果近期发表在《Antiquity》,第一作者和通讯作者为鲁鹏,合作单位郑州市文物考古研究院、伦敦大学、北京大学。
本研究由以下基金资助:中国国家自然科学基金(编号41971016)、中国国家社会科学基金(项目编号19ZDA227)、郑州环境考古研究、河南省科技攻关与应用基础研究联合基金项目(编号225200810048)、河南省科学技术项目(编号252102320284、242102321146)、河南省软科学研究项目(编号252400410524)、河南省科学院创新团队项目(编号20230103)、河南省科学院基本科研业务费(编号20250601007、20250601010)、河南省科学院科技智库项目(编号20250701001)、河南省科学院科研启动经费(编号2025180001、241801098、241801100)、河南省自然科学基金(编号252300420855)。
论文信息:
Peng Lu,Xin Du et al. Prehistoric water control works in the Loess Plateau: an ancient ditch system at Shuanghuaishu, China. Antiquity, 2025 Vol. 99 (408): 1515–1534
论文链接:https://doi.org/10.15184/aqy.2025.10186

图1. 双槐树遗址位置示意图

图2 双槐树遗址3D地表模型及环壕采样矩形红色标记

图3 内壕地层及影像

图4 中壕地层及影像

图5 中壕地层及影像

图6 环壕的时间序列

图7 环壕沉积物粒度分析
撰稿:陈盼盼
初审:任 杰
复审:杜 军
终审:鲁 鹏